联系我们收藏本站在线留言网站地图欢迎进入西安相远科技有限公司!
24小时咨询热线: 18991129503
400-101-2883
西安相远科技有限公司 26年专注石油化工领域磁翻板液位计研发定制厂家
相远科技,资讯全方位,头条早知晓

电容式液位计

作者: 东风 编辑: 蘑菇 来源: 相远液位计 点击数: 1 发布日期: 2018.09.26
信息摘要:
电容式物位计一般不受真空、压力、温度等环境的影响,安装方便、结构牢固、易维修、价格较低。但是又有一定的使用局限性,本篇相远液位计将具体为您介…

    电容式物位计一般不受真空、压力、温度等环境的影响,安装方便、结构牢固、易维修、价格较低。但是又有一定的使用局限性,本篇相远液位计将具体为您介绍该类仪表   相远仪表:400-101-2883】。

    电容式物位计是利用敏感元件直接将物位的变化转换为电容量的变化。电容式物位计的结构形式很多,有平极板式、同心圆柱式等,适用范围较广。它对被测介质本身性质的要求不像其他方法那样严格,既能测量导电介质和非导电介质,也可以测量倾斜晃动及高速运动的容器的液位;不仅可以进行液位控制,还能用于连续测量,因此在液位测量中的地位比较重要。

电容式液位计

图1

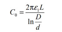
    在液位连续测量中,一般多使用同心圆柱式电容器,其检测原理图如上图 所示。设电容器的长度为 L,外径和内径分别为 D 和 d,当两个圆筒间冲以介电常数为 1 ε 的介质时,该电容器的电容量为

电容式液位计

图2

    如果两圆筒形电极间的一部分被介电常数为 2 ε 的介质所淹没,设被淹没电极的长度为H,如图所示。则此时的电容量

电容式液位计

图3

    上式表明,当圆筒形电容器的尺寸 L,D 和 r 保持不变,而且介电常数ε1 和ε2  也不变时,电容器的电容变化量 ΔC 与电极被介电常数为ε2 的介质所淹没的高度 H 之间成正比。两种介质的介电常数的差值ε2-ε1越大,电容变化量 ΔC 也越大,测量的相对灵敏度就越高。

    从原理上讲,圆筒形电容式物位计既可检测导电性液体的液位,也可检测固体颗粒的料位。如果被测介质为导电性液体,则上述圆筒形电极会被导电液体短路。因此对于导电液体的液位测量,电极要用绝缘物覆盖作为中间电极,一般用紫铜或不锈钢作为内电极,外套聚四氟乙烯塑料管或涂搪瓷作为绝缘层,而导电液体和容器壁构成电容器的外电极,如图 所示

电容式液位计

图4

    容器内没有液体时,内电极和容器壁组成电容器,绝缘层和空气为介电层,液面的高度为 H 时,有液体部分由内电极和导电液体构成电容器,绝缘套为介电层。此时整个电容相当于有液体部分和无液体部分的两个电容并联。

    电容式物位计主要由电极和电容检测电路组成。由于电容的变化量很小,因此准确测量电容量是物位测量的关键。目前在物位检测中,常见的电容检测方法主要有交流电桥法、冲放电法和谐振电路法等。电容式物位计一般不受真空、压力、温度等环境的影响,安装方便、结构牢固、易维修、价格较低。但不适用于以下情况:被测介质的介电常数随温度等影响而变化,被测介质在电极上有沉积或有气泡等产生。

    【相远仪表】集仪表开发、设计、生产、服务于一体的综合性表企业,二十年行业经验,只为打造安全可靠的好仪表,进一步了解相远仪表您可以拨打客服热线: 400-101-2883或【029-88608386-603

全国服务热线

18991129503